作者:朱小愚、叶江 摄影:侯兵兵
近日,细菌研究期刊《细菌学杂志》(Journal of Bacteriology)以“The Novel Transcriptional Regulator LmbU Promotes Lincomycin Biosynthesis through Regulating Expression of Its Target Genes in Streptomyces lincolnensis”为题在线报道了公司张惠展教授课题组关于林可霉素生物合成调控的最新进展。
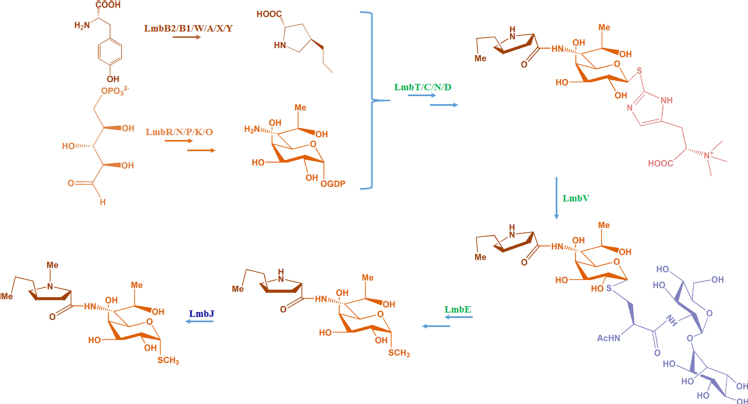
林可霉素及其衍生物广泛应用于临床医疗,但发酵效价低限制了其应用。抗生素生物合成及调控机制的解析,将为林可霉素工业生产菌的改造提供理论依据。该研究通过在林肯链霉菌中敲除与过表达lmbU基因、体外EMSA实验与体内测活等,证明LmbU为一种全新家族的途径调控因子。该研究也是林可霉素生物合成调控机制的首次报道,为后续林可霉素生物合成调控网络的解析奠定基础,也为未来林可霉素的高产研究提供了新策略。
同期,美国俄亥俄州立大学Kou-San Ju教授和加拿大麦克马斯特大学Marie A. Elliot教授联合就此研究发表评论文章,对研究工作高度赞扬,其LmbU功能的完全解析为利用基因工程方法改造菌株提供了可行的方案。
该工作由博士生侯兵兵在张惠展教授与吴海珍教授的指导下完成,并得到郭美锦教授及国家生化工程技术研究中心(上海)的大力支持。论文第一作者为侯兵兵,通讯作者为张惠展与叶江。
相关链接:
Hou B, Lin Y, Wu H, et al. The novel transcriptional regulator LmbU promotes lincomycin biosynthesis through regulating expression of its target genes in Streptomyces lincolnensis[J]. Journal of Bacteriology, 2018, 200(2): e00447-17.
New kid on the block: LmbU expands the repertoire of specialized metabolic regulators in Streptomyces[J]. Journal of Bacteriology, 2018, 200(2): e00559-17.

